Euroseas Ltd. Reports Results for the Year and Quarter Ended December 31, 2023 and increases dividend by 20% to $0.60 per share

Maroussi, Athens, Greece - February 21, 2024

Euroseas Ltd. (NASDAQ: ESEA, the "Company" or "Euroseas"), an owner and operator of container carrier vessels and provider of seaborne transportation for containerized cargoes, reported the following results for the three-month period and full year ended December 31, 2023.

Fourth Quarter 2023 Financial Highlights:

• Total net revenues of $49.1 million. Net income of $24.7 million or $3.58 and $3.56 earnings per share basic and diluted, respectively. Adjusted net income1 for the period was $25.0 million or $3.62 and $3.61 per share basic and diluted.

• An average of 19.0 vessels were owned and operated during the fourth quarter of 2023 earning an average time charter equivalent rate of $29,266 per day.

• Declared a quarterly dividend of $0.60 per share for the fourth quarter of 2023 payable on or about March 15, 2024 to shareholders of record on March 8, 2024 as part of the Company's common stock dividend plan.

• As of February 21, 2024, the Company has repurchased 400,705 of our common stock in the open market, representing about 5.5% of the outstanding shares, for a total of about $8.2 million, under the share repurchase plan of up to $20 million announced in May 2022.

Full Year 2023 Highlights:

• Total net revenues of $189.4 million. Net income of $114.5 million or $16.53 and $16.52 earnings per share basic and diluted, respectively. Adjusted net income1 for the period was $103.9 million or $14.99 and $14.98 per share basic and diluted, respectively.

• Adjusted EBITDA1 was $123.6 million.

• An average of 18.25 vessels were owned and operated during 2023, earning an average time charter equivalent rate of $29,714 per day.

Recent developments
On February 6, 2024, the Company took delivery of M/V Tender Soul, an Eco EEDI Phase 3, 2,800 teu feeder containership newbuilding from Hyundai Mipo Dockyard Co. in South Korea. The vessel is equipped with a Tier III engine and other sustainability linked features including installation of AMP (alternative maritime power). The vessel is financed via a sale and leaseback agreement with a Japanese owner and leasing house. Following its delivery, M/V Tender Soul commenced an eight to ten months charter at a rate of $17,000/day.

(1) Adjusted EBITDA, Adjusted net income and Adjusted earnings per share are not recognized measurements under U.S. GAAP (GAAP) and should not be used in isolation or as a substitute for Euroseas financial results presented in accordance with GAAP. Refer to a subsequent section of the Press Release for the definitions and reconciliation of these measurements to the most directly comparable financial measures calculated and presented in accordance with GAAP.

Aristides Pittas, Chairman and CEO of Euroseas commented:
"Containership markets have staged an unexpected comeback over the last two months or so with one year charter rates increasing by approximately 35% from the lowest levels reached in December 2023. This recovery appears to be primarily due to the disturbances of the trade pattern by the attacks on vessels in the Red Sea resulting in longer travel routes as vessels avoid the Red Sea and Suez Canal.

"Clearly, the extent to which such attacks on shipping continue will shape the near term development of charter rates. Certain of our vessels benefited from this better rate environment in their charter renewals and we expect that the next four of our newbuildings which are being delivered over the next four to five months will benefit too.

Beyond such dislocations, the challenge of the containership sector remains the absorption of the still high orderbook which, however, has started declining. In parallel, demand for containerized trade and, consequently, demand for vessel capacity, remains the main driver of the market. This is, of course, a function of the worldwide economic growth but also of trade growth within intra-regional markets which predominantly provide employment for ships in our size segments.

"It should be noted that our segments, feederships and intermediate size vessels, face a much smaller orderbook than the overall fleet and have an older age profile with about 25% of the feeder vessels being older than 20 years of age. Because of the latter, quite a number of vessels are likely to be affected by the greenhouse gas emissions regulations and be forced to run at slower speeds or even be removed from service. However, as we stated previously, although the size of the feeder fleet could decline and, possibly, result in positive demand over supply balance for the sub-segment, the overall state of the markets will likely be set by the large orderbook of the intermediate and large containership sectors.

"In any event, we feel that our profitability is sufficiently protected in 2024 by the contracted revenue backlog of more than $350 million we have developed. We also have significant revenues booked for 2025 having covered more than 25% of our operating days at highly profitable levels. And liquidity-wise, we have built a significant buffer of almost $60 million of unrestricted cash which we expect to further increase during 2024 over and above the equity requirements for our remaining newbuilding program, which we will fund organically, the payment of our increased dividend and our on-going share repurchasing program.

"Our Board decided to increase our quarterly dividend by 20%, to $0.60 per share, to continue providing a meaningful yield to our shareholders even after the significant increase of our share price over the last two months. We will continue to ensure that we properly reward our shareholders via dividends and share repurchases but also by using our excess liquidity to capitalize on accretive investment opportunities when they appear." Tasos Aslidis, Chief Financial Officer of Euroseas commented: "Our revenues for the fourth quarter of 2023 are increased by approximately 14% compared to the same period of 2022. This was the result of the increased average number of vessels owned and operated in the fourth quarter of 2023, compared to the corresponding period of 2022. The Company operated an average of 19.00 vessels, versus 18.00 vessels during the same period last year. Net revenues amounted to $49.1 million for the fourth quarter of 2023 compared to $42.9 million for the fourth quarter of 2022.

"Total daily vessel operating expenses, including management fees, general and administrative expenses, but excluding drydocking costs, were slightly lower during the fourth quarter of 2023 compared to the same quarter of last year.

"Adjusted EBITDA1 during the fourth quarter of 2023 was $32.4 million compared to $22.9 million achieved in the fourth quarter of last year, reaching $123.6 million versus $114.4 million in the respective twelve-month periods of 2023 and 2022.

"As of December 31, 2023, our outstanding bank debt (excluding the unamortized loan fees) was $131.0 million, versus restricted and unrestricted cash of approximately $64.3 million. As of the same date, our scheduled debt repayments over the next 12 months amounted to about $31.2 million (excluding the unamortized loan fees). Finally, I would like to highlight that as of the end of 2023, our balance sheet shows not an accumulated deficit any more but rather positive retained earnings of about $8.5 million, even after we have paid in 2022 and 2023 almost $24.8 million in dividends."

Fourth Quarter 2023 Results:
For the fourth quarter of 2023, the Company reported total net revenues of $49.1 million representing a 14.4% increase over total net revenues of $42.9 million during the fourth quarter of 2022, which was mainly the result of the increased average number of vessels operating in the fourth quarter of 2023 compared to the corresponding period of 2022. The Company reported a net income for the period of $24.7 million, as compared to a net income of $20.3 million for the fourth quarter of 2022. On average, 19.0 vessels were owned and operated during the fourth quarter of 2023 earning an average time charter equivalent rate of $29,266 per day compared to 18.0 vessels in the same period of 2022 earning on average $29,399 per day.

For the fourth quarter of 2023, voyage expenses amounted to $0.3 million as compared to voyage expenses of $1.6 million for the same period of 2022. The increased amount of 2022 is mainly attributable to bunkers consumption by one of our vessels (M/V "Akinada Bridge") that had suffered unrepaired damages and was consequently sold for scrap.

Vessel operating expenses for the same period of 2023 amounted to $10.8 million as compared to $10.2 million for the same period of 2022. The increased amount is mainly due to the higher number of vessels owned and operated in the last three months of 2023 compared to the same period of 2022, in addition to the increased crewing costs for our vessels compared to the same period of 2022 as well as due to inflationary increases, resulting in higher prices being paid for all the categories of vessel supplies.

Vessel depreciation for the fourth quarter of 2023 increased to $6.0 million from $5.3 million in the fourth quarter of 2022, as a result of the increased number of vessels operated and the fact that the new-building vessels delivered in April and July 2023, have a higher average daily depreciation charge as a result of their higher acquisition price compared to the remaining vessels.

Related party management fees for the three months ended December 31, 2023 were $1.5 million compared to $1.3 million for the same period of 2022, as a result of the higher number of vessels in our fleet and the adjustment for inflation in the daily vessel management fee, effective from January 1, 2023, increasing it from 720 Euros to 775 Euros.

Drydocking expenses amounted to $2.3 million during the fourth quarter of 2023 comprising the cost of one vessel passing its special survey with drydock, another one passing its intermediate survey in water and a vessel entering into drydocking for its special survey that was completed in January 2024. For the same period of 2022 drydocking expenses amounted to $3.3 million comprising the cost of two vessels passing their special survey with drydock. General and administrative expenses slightly decreased to $1.6 million in the fourth quarter of 2023, as compared to $1.7 million in the fourth quarter of 2022.

Finally, in the third quarter of 2023, we had other operating income of $1.1 million relating to loss of hire insurance for one of our vessels. Other operating income for the fourth quarter of 2022 relates to an "unrepaired damage" claim agreed with the hull and machinery underwriters and loss of hire insurance for one of our vessels.

Interest and other financing costs for the fourth quarter of 2023 amounted to $2.5 million, after deducting capitalized interest of $0.3 million charged to the cost of our newbuilding program, for a total interest and other financing cost of $2.8 million, compared to $1.6 million, after deducting capitalized interest of $0.4 million charged to the cost of our newbuilding program, for a total interest and other financing cost of $2.0 million for the same period of 2022.

This increase is due to the increased amount of debt and increase in the weighted average benchmark rates of our bank loans in the current period compared to the same period of 2022.

For the three months ended December 31, 2023 the Company recognized a $1.0 million loss on its interest rate swap contract, comprising a $1.1 million unrealized loss from the mark-to-market valuation of our outstanding interest rate swaps and a $0.1 million of realized gain. For the three months ended December 31, 2022 the Company recognized a $0.2 million gain on its interest rate swap contracts, comprising a $0.04 million unrealized gain from the mark-to-market valuation of our outstanding interest rate swaps and a $0.2 million of realized gain.

Adjusted EBITDA1 for the fourth quarter of 2023 increased to $32.4 million compared to $22.9 million for the corresponding period in 2022.

Basic and diluted earnings per share for the fourth quarter of 2023 were $3.58 and $3.56 calculated on 6,908,581 and 6,943,912 basic and diluted weighted average number of shares outstanding, respectively, compared to basic and diluted earnings per share of $2.87 and $2.86, respectively, for the fourth quarter of 2022, calculated on 7,081,776 basic and 7,100,432 diluted weighted average number of shares outstanding.

Excluding the effect on the net income for the quarter of the unrealized (gain) / loss on derivatives, the amortization of fair value of below market time charters acquired and the vessel depreciation on the portion of the consideration of vessels acquired with attached time charters allocated to below market time charters, the adjusted earnings for the quarter ended December 31, 2023 would have been $3.62 and $3.61 per share basic and diluted, respectively, compared to adjusted earnings of $2.50 per share basic and diluted for the quarter ended December 31, 2022.

Usually, security analysts do not include the above items in their published estimates of earnings per share.

Full Year 2023 Results:
For the full year of 2023, the Company reported total net revenues of $189.4 million, representing a 3.6% increase, over total net revenues of $182.7 million during the twelve months of 2022, mainly as a result of the increased number of vessels owned and operated in the twelve months of 2023 compared to the corresponding period of 2022, partly offset by the lower average time charter equivalent rates earned in 2023. The Company reported a net income for the year of $114.5 million, as compared to a net income of $106.2 million for the twelve months of 2022. On average, 18.25 vessels were owned and operated during the twelve months of 2023 earning an average time charter equivalent rate of $29,714 per day compared to 17.12 vessels in the same period of 2022 earning on average $31,964 per day.

For the twelve months of 2023, voyage expenses amounted to $1.3 million, as compared to voyage expenses of $2.5 million in the same period of 2022. The increased amount of 2022 is mainly attributable to bunkers consumption by one of our vessels (M/V "Akinada Bridge") that had suffered unrepaired damages and was consequently sold for scrap.

Vessel operating expenses for the twelve months of 2023 amounted to $42.0 million as compared to $37.7 million for the same period of 2022. This increase in vessel operating expenses is due to the higher average number of vessels operated by the Company in the twelve months of 2023 as compared to the same period of 2022 in addition to the increased crewing costs for our vessels compared to the same period of 2022, as well as due to inflationary increases, resulting in higher prices being paid for all the categories of vessel supplies.

Vessel depreciation for the twelve months of 2023 was $22.8 million compared to $18.5 million during the same period of 2022, due to the increased average number of vessels operating in 2023 as compared to the same period of 2022 and the fact that the two new vessels acquired at the end of May and June 2022 and the new-building vessels delivered in April and July 2023, have a higher average daily depreciation charge as a result of their higher acquisition price compared to the remaining vessels.

For the twelve months of 2023, the Company recorded an impairment charge of $13.8 million. The impairment was booked to reduce the carrying amount of a containership (M/V "Jonathan P") to its estimated market value, since based on the Company's impairment test results as of September 30, 2023 it was determined that its carrying amount was not recoverable.

Related party management fees for the twelve months of 2023 were $5.7 million compared to $4.9 million for the same period of 2022 as a result of the higher number of vessels in our fleet and the adjustment for inflation in the daily vessel management fee, effective from January 1, 2023, increasing it from 720 Euros to 775 Euros.

General and administrative expenses amounted to $4.7 million during the twelve months of 2023 as compared to $4.6 million in the last year. This increase is mainly attributable to the increased cost of our stock incentive plan. Drydocking expenses amounted to $3.4 million (two vessels passed their special survey with drydock, one vessel passed its intermediate survey in water and another one entered into drydock for its special survey, that was completed within January 2024), compared to $9.5 million for the twelve months of 2022 (three vessels completed their intermediate survey in water, while five vessels passed their special survey with drydock).

In the twelve months of 2023, a gain on time charter agreements termination of $16.0 million was recognized in connection with the write-off of the outstanding balance of the attached time charter liability recognized as part of the acquisitions of two of our vessels in 2022, which was fully amortized in August 2023 due to the early termination of the respective attached time charter agreements. No such case existed in 2022.

The results of the Company for 2023 include a $5.2 million gain on sale of M/V "Akinada Bridge" that was completed in January 2023.

Finally, during the twelve months of 2023 and 2022, we had other operating income of $2.7 million and $1.6 million, respectively. The operating income for the year 2023 relates to loss of hire insurance for two of our vessels. The operating income for the period of 2022 relates to an "unrepaired damage" claim agreed with the hull and machinery underwriters and loss of hire insurance in relation to one of our vessels, partly offset by the settlement of accounts with charterers.

Interest and other financing costs for the twelve months of 2023 amounted to $6.4 million, after deducting capitalized interest of $3.4 million charged on the cost of our newbuilding program, for a total interest and other financing cost of $9.8 million, compared to $5.1 million for the same period of 2022, after deducting capitalized interest of $0.5 million charged on the cost of our newbuilding program, for a total interest and other financing cost of $5.6 million. This increase is due to the increased amount of debt and the increase in the weighted average benchmark rates of our bank loans in the current period compared to the same period of 2022. For the twelve months ended December 31, 2023 the Company recognized a $0.2 million gain on its interest rate swap contracts, comprising a $4.0 million unrealized loss from the mark-to-market valuation of its outstanding interest rate swap and a $4.2 million realized gain on three interest rate swaps, two of which were terminated early in the second quarter of 2023. For the twelve months ended December 31, 2022 the Company recognized a $4.4 million gain on its interest rate swap contracts, comprising a $4.2 million unrealized gain from the mark-to-market valuation of its outstanding interest rate swaps and a $0.2 million realized gain.

Adjusted EBITDA1 for the twelve months of 2023 increased to $123.6 million compared to $114.4 million during the twelve months of 2022, primarily as a result of higher revenues.

Basic and diluted earnings per share for the twelve months of 2023 were $16.53 and $16.52, calculated on 6,931,280 and 6,936,060 basic and diluted weighted average number of shares outstanding, respectively, compared to basic and diluted earnings per share of $14.79 and $14.78 for the twelve months of 2022, respectively, calculated on 7,181,561 basic and 7,190,107 diluted weighted average number of shares outstanding.

Excluding the effect on the net income for the year of unrealized (gain) / loss on derivatives, impairment loss, amortization of the below market time charters acquired, vessel depreciation on the portion of the consideration of vessels acquired with attached time charters allocated to below market time charters, the gain on time charter agreements termination and gain on sale of vessel (if any), the adjusted earnings for the year ended December 31, 2023 would have been $14.99 and $14.98 basic and diluted, respectively, compared to adjusted earnings of $13.23 and $13.21 per share basic and diluted, respectively. As previously mentioned, usually, security analysts do not include the above items in their published estimates of earnings per share.

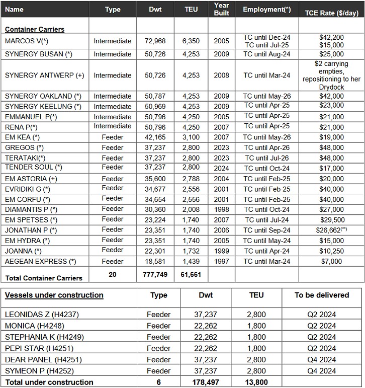
Fleet Profile:

The Euroseas Ltd. fleet profile as of February 21, 2024 is as follows:



(*) TC denotes time charter. All dates listed are the earliest redelivery dates under each time charter unless the contract rate is lower than the current market rate in which cases the latest redelivery date is assumed; vessels with the latest redelivery date shown are marked by (+).

(**) Rate is net of commissions (which are typically 5-6.25%)

Full report

About Euroseas Ltd.
Euroseas Ltd. was formed on May 5, 2005 under the laws of the Republic of the Marshall Islands to consolidate the ship owning interests of the Pittas family of Athens, Greece, which has been in the shipping business over the past 140 years. Euroseas trades on the NASDAQ Capital Market under the ticker ESEA.

Euroseas operates in the container shipping market. Euroseas' operations are managed by Eurobulk Ltd., an ISO 9001:2008 and ISO 14001:2004 certified affiliated ship management company, which is responsible for the day-to-day commercial and technical management and operations of the vessels. Euroseas employs its vessels on spot and period charters and through pool arrangements.

The Company has a fleet of 20 vessels, including 13 Feeder containerships and 7 Intermediate containerships. Euroseas 20 containerships have a cargo capacity of 61,661 teu. After the delivery of six feeder containership newbuildings in 2024, Euroseas' fleet will consist of 26 vessels with a total carrying capacity of 75,461 teu.

Euroseas Ltd. Press Release